降壓型非隔離DC-DC轉換器的工作原理
發布時間:2023-11-28 09:03:04 瀏覽:1712
降壓型DC-DC轉換器是一種常用的電子器件,用于將較高的輸入電壓轉換為較低的輸出電壓。其工作原理如下:
1、輸入電壓通過一個開關(通常是一個功率MOSFET)連接到一個電感和一個濾波電容。開關周期性地打開和關閉,控制能量的流動。
2、當開關關閉時,輸入電壓施加在電感上,使電流以指數上升的方式增加。這存儲了能量在電感中。
3、當開關打開時,電感中的磁場崩塌,產生一個反向電壓。根據Lenz定律,這個反向電壓使電流繼續流動,但通過一個二極管,稱為自由輪二極管。
4、輸出電壓被取樣在輸出端,通常通過一個電壓反饋回路來保持穩定。如果輸出電壓低于設定值,控制閉環將調整開關的占空比增加,以增加輸出電壓。
5、輸出電壓經過一個濾波電容,以減小輸出紋波。然后通過輸出線路提供給負載。
需要注意的是,以上描述的是基本的降壓型DC-DC轉換器工作原理。實際的轉換器電路可能包括其他元件,例如補償網絡、穩壓器等,以提高穩定性和效率。
降壓型DC-DC轉換器電路
Fig.1是同步整流方式的降壓型DC-DC轉換器的電路。
基本電路結構是在負責開關的MOSFET(Q1)之后,并聯連接整流用MOSFET(Q2)和輸出平滑電容器(C2),串聯連接線圈與MOSFET(Q1)。
Q1與Q2由IC輸出的控制信號控制。

MOSFET(Q1)導通
Fig.2表示開關元件Q1導通的狀態。
當Q1導通時,電流從輸入Vin流過線圈L并對輸出平滑電容器C2充電,提供輸出電流Iout。
此時線圈L上流過的電流產生磁場,并將電能轉換成磁能蓄積儲存。

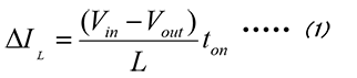
Q1導通的ton期間,在線圈L上施加輸入電壓Vin與輸出電壓Vout的電壓,以輸出電流Iout為中心的紋波電流為:
ΔIL:L上流過的電流變化量(紋波電流)[A]
Vin:輸入電壓[V]
Vout:輸出電壓[V]
L:線圈電感值[H]
ton:Q1導通時間[s]

MOSFET(Q2)導通
Fig.3表示開關元件Q2導通的狀態。
Q1關斷后Q2導通,L上儲存的能量向輸出側釋放。

在Q1關斷的toff期間,為了維持線圈L上流動的電流,經由Q2向負載釋放電流。此toff期間的紋波電流為:
ΔIL: L上流過的電流變化量(紋波電流)[A]
Vout: 輸出電壓[V]
L: 線圈電感值[H]
toff: Q1關斷時間[s]

占空比
由于穩態下的Q1導通公式(1)與Q2導通公式(2)的ΔIL相等,因此輸入輸出電壓的關系為:
ton/(ton + toff)為Q1導通的時間比,被稱為占空比(duty cycle)。
Vout取決于占空比,通過控制占空比來控制Vout。


設(ton + toff)為開關周期T[s],此時的開關頻率為fsw[Hz],將公式(1)與公式(3)整理為與fsw的關系就是:
若Vin及Vout已確定,那么輸出的紋波電流則由L與fsw決定。
如果紋波電流大,則輸出紋波電壓變大。
此外,也容易使線圈飽和,從而造成鐵芯損耗增大等影響。
為了解決此類問題,需要提高開關頻率,或者增加線圈的圈數來提高電感值。
相關推薦:
推薦資訊
Q-Tech Corporation 的 QT309x 是一款軍用級溫度補償晶體振蕩器(TCXO),核心特點包括:超高精度(±1-3 ppm 頻率穩定性)、極低相位噪聲(-155 dBc/Hz @100 kHz) 和 快速啟動(10 ms),支持 1-100 MHz 頻率范圍,提供 3.3V 或 5V 雙電壓選項,需外接 6.5V 調諧電壓,功耗 30-40 mA,輸出功率 3 dBm,并兼容 50Ω 至 10kΩ 負載。其 Gull Wing 封裝(20.7×13.06×9.78 mm) 滿足軍用環境(-40°C 至 85°C 工作溫度),適用于 高精度時鐘同步、信號處理及軍用控制系統,符合 RoHS 標準。
?TI 德州儀器?為汽車、工業或個人電子應用提供全系列通用運算放大器。TI 德州儀器的運算放大器封裝在一個非常小的封裝中,具有完整的功能,以提供具有競爭力的性能。
在線留言